e-pengambilan pdrm
Unit Pengambilan PDRM Help Desk. CARA PERMOHONAN ONLINE MELALUI e-PENGAMBILAN PDRM.
Minima Spm Layak Memohon E Pengambilan Pdrm Gaji Rm 1 441 Rm 4 152
ARUL97eric Mohd Haniffmohdhaniffabdrani vinzvinovinzvino82 siuuuukakaygpalingcantek Nyel nyelnotchill.

. Unit Pengambilan Polis Diraja Malaysia. Calon boleh membuat semakan status di laman sesawang e-Pengambilan PDRM. Ibu Pejabat Polis Diraja Malaysia 50560 Bukit Aman Kuala Lumpur.
Langkah 1. Berikut adalah merupakan cara untuk membuat semakan. 603 - 2266 2222 E-mel.
Rmp atrmp dotgov dotmy. Dalam tab Permohonan Jawatan sila pilih jawatan yang ditawarkan. Calon dikehendaki untuk Log Masuk dan klik di Semakan Permohonan dan klik Semak untuk mendapatkan maklumat status panggilan dalam Sistem e-Pengambilan PDRM.
Portal e-Pengambilan Polis PDRM httpsepengambilanpdrmrmpgovmy. Explore the latest videos from hashtags. Ilial Can Help You Find Multiples Results Within Seconds.
E-Pengambilan PDRM merupakan Portal Rasmi Web Polis Diraja Malaysia bagi pengambilan jawatan kosong Polis kepada warganegara Malaysia yang berminat. Klik pada menu Maklumat Peribadi maklumat data peribadi dengan adalah input wajib. Klik pada butang Simpan sebelum kelangkah seterusnya.
Semua calon yang telah tersenarai dan dipanggil hendaklah. Watch popular content from the following creators. Sila klik pada butang Simpan sebelum kelangkah seterusnya.
Klik pada butang Pendaftaran Baru untuk membuat pendaftaran. EPengambilan PDRM ialah sebuah portal rasmi Polis Diraja Malaysia yang mengendalikan urusan pengambilan dan permohonan jawatan polis yang ditawarkan secara sistematik. Sila pastikan maklumat peribadi keluarga akademik dan ko-kurikulum adalah betul sebelum kelangkah seterusnya.
Calon boleh membuat semakan status di laman sesawang e-Pengambilan PDRM Bermula 17 Januari 2022 hingga 06 Mac 2022. Gaji RM 250200- RM 980300. E-Pengambilan PDRM Polis Diraja Malaysia 2021.
Klik pada menu Permohonan Polis Permohanan Baru. Ad Search For Info About Document management system. Berikut adalah cara login e-Pengambilan PDRM cara mengisi borang.
Melalui laman web ini juga pemohon boleh melakukan semakan status panggilan pada tarikh yang dimaklumkan dengan. E pengambilan pdrm 2022 12M viewsDiscover short videos related to e pengambilan pdrm 2022 on TikTok. Portal tersebut akan memaparkan ruangan log masuk pendaftaran baharu pengumuman.
SEMAK STATUS PANGGILAN MELALUI ePENGAMBILAN PDRM. KONSTABEL POLIS YT1 LELAKI SAHAJA Gaji. 03-2266834983508351 Facebook Fan Page.
Jawatan Kosong Pengambilan PDRM 2021. Tunggu dan semak e-mel anda untuk mengaktifkan akaun. Bagi calon Sabah dan Sarawak Ujian Pemeriksaan Fizikal akan bermula pada 03 Februari sehingga 06 Mac 2022.
MySTEP NHMS Kementerian Kesihatan Malaysia 2022. Pertama sekalai anda perlu memasuk laman portal rasmi e-pengambilan pdrm di httpsepengambilanpdrmrmpgovmy. Melalui laman web ini juga pemohon boleh membuat semakan status panggilan pada tarikh yang dimaklumkan dengan.
Semua calon yang telah tersenarai dan dipanggil wajib. E-Pengambilan PDRM Dibuka Sekarang Kepada seluruh rakyat malaysia yang sedang mencari jawatan kosong berkelayakan dan berminat untuk berkerja sebagai anggota PDRM anda diperlawa untuk memohon segera jawatan yang ditawarkan seperti berikut-. Sebarang pertanyaan boleh hubungi Help Desk Unit Pengambilan Jabatan Pengurusan Bukit Aman di talian 03-2266 8348 8350 8351.
Kepada mereka yang ingin membuat permohonan sila layari aplikasi atas talian dengan membuka pautan laman web rasmi berikut. Isikan ID Pengguna dan Kata Laluan dan Klik pada butang Log Masuk. Bermula 17 Januari 2022 hingga 06 Mac 2022.
Telah dibuka pengambilan jawatan Inspektor Polis Konstabel Polis Konstabel Orang Asli bagi ambilan tahun 2021. Cara Permohonan Online Melalui e-Pengambilan PDRM ePengambilan PDRM ialah Sebuah portal rasmi Polis Diraja Malaysia yang mengendalikan urusan pengambilan dan permohonan jawatan polis yang ditawarkan secara sistematik. Jawatan kosong pdrm 1780 kekosongan tahun 2017 - Advertisment - Most Read.
Urus Setia KPN Komunikasi Korporat dengan kerjasama Bahagian Telekomunikasi dan Sistem Maklumat. Unit Pengambilan PDRM Twitter. Calon dikehendaki untuk Log Masuk dan klik di Semakan Permohonan dan klik Semak untuk mengetahui status panggilan dalam Sistem e-Pengambilan PDRM.
LOGIN e-PENGAMBILAN PDRM CARA MENGISI BORANG. E-Pegambilan PDRM Dibuka Sekarang. Browse Get Results Instantly.
Permohonan Polis Melalui e-Pengambilan PDRM. Semakan status boleh dibuat di laman sesawang e-Pengambilan PDRM. E-Pengambilan PDRM Inspektor Polis YA13 LelakiWanita April 16 2021.
Daftar MasukLog in Klik Permohonan Polis klik Senarai Permohonan klik pada ikon sebelah kiri Nama Pemohon klik pada. Bermula 17 Januari 2022 hingga 06 Mac 2022. Vet Hospital Melbourne Vet Clinic South East Melbourne Vet South Eastern Vet Clayton Vic Cylex Local Search Veterinarians Team Veterinary Clinic Melbourne Seah.
Isikan maklumat pengguna dan klik pada butang Serah. Cara Membuat Permohonan Polis Melalui Sistem ePengambilan PDRM. Adalah dimaklumkan bahawa Sistem E-Pengambilan PDRM sedang dinaik taraf bermula hari ini Khamis 29 Julai hingga Sabtu 31 Julai 2021 dan kembali pulih sediakala selepas tempoh tersebut.
Jawatan Kontrak JKR Daerah Hulu Langat 2022. Cara mendapatkan Resume anda daripada Sistem e-Pengambilan PDRM.
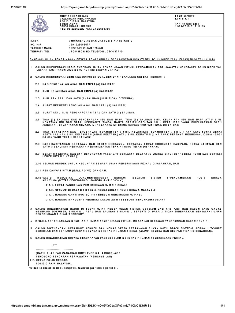
Memo Pdf Indian Philosophy Religious Philosophical Concepts
E Pengambilan Pdrm Login Englshmami
E Pengambilan Pdrm 2022 Permohonan Polis Semakan Panggilan
E Pengambilan Pdrm 2022 Permohonan Polis Semakan Panggilan
E Pengambilan Pdrm 2022 Permohonan Polis Semakan Panggilan
Epengambilan Pdrm Permohonan Jawatan Inspektor Polis 2 Ogos 2021
E Pengambilan Pdrm Permohonan Jawatan Konstabel Polis Ya1 Lelaki
E Pengambilan Pdrm Cara Mohon Polis Pdrm 2020 Digital Mukmin
Semakan Panggilan E Pengambilan Pdrm 2022 Portal Malaysia
Epengambilan Pdrm Permohonan Jawatan Inspektor Polis 2 Ogos 2021
Permohonan Jawatan Kosong Polis 2020 E Pengambilan Pdrm
E Pengambilan Pdrm Jawatan Kosong Polis Diraja Malaysia Pdrm 2021 Portal Malaysia
Permohonan Polis 2021 Online Melalui E Pengambilan Pdrm Tarikh Tutup 31 Mac 2021
E Pengambilan Pdrm Jawatan Kosong Polis Diraja Malaysia Pdrm 2021 Portal Malaysia
E Pengambilan Pdrm Dibuka Sekarang Mohon Online Sekarang
Epengambilan Pdrm Semakan Status Panggilan 2022
E Pengambilan Pdrm 2022 Permohonan Polis Semakan Panggilan
E Pengambilan Pdrm Jawatan Kosong Polis Diraja Malaysia Pdrm 2021 Portal Malaysia
E Pengambilan Pdrm Jawatan Kosong Polis Diraja Malaysia Pdrm 2021 Portal Malaysia